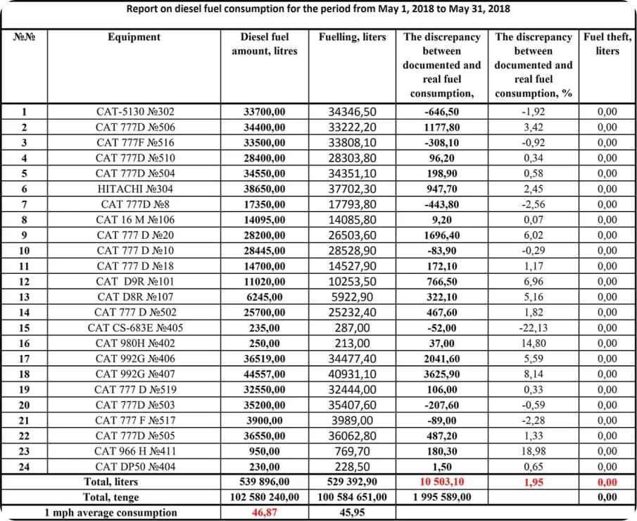
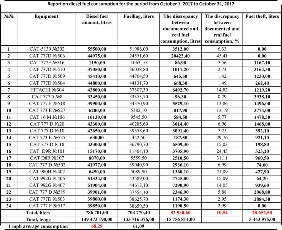
Integrator was tasked with supplying the company, which is engaged in mining rare rocks, with a fuel consumption control system.
Previously, the company often encountered cases of theft and overuse of fuel, which resulted in excessive costs and, consequently, reduced profits from operations.
The integrator had to find a solution to manage fuel consumption outside GSM/GPS coverage areas.